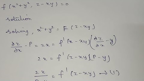
z=xy+y√(x^2+a^2)+b^2 form #PDE by eliminating the arbitrary constants L1k,138

Tonton & Download Video Musik Gratis

⬇ DOWNLOAD NOW
Kalau muncul iklan pop-up, tutup lalu klik tombol kembali

Download lagu z=xy+y√(x^2+a^2)+b^2 form #PDE by eliminating the arbitrary constants L1k,138 secara gratis hanya untuk keperluan promosi. Dukung artis favorit kamu dengan membeli musik original di iTunes atau platform resmi lainnya.