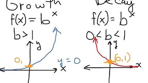
Level Algebra 2 Unit 6 Lesson 1 - Exponential Growth and Decay Functions

Tonton & Download Video Musik Gratis

⬇ DOWNLOAD NOW
Kalau muncul iklan pop-up, tutup lalu klik tombol kembali

Download lagu Level Algebra 2 Unit 6 Lesson 1 - Exponential Growth and Decay Functions secara gratis hanya untuk keperluan promosi. Dukung artis favorit kamu dengan membeli musik original di iTunes atau platform resmi lainnya.