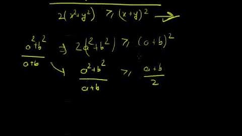
Arithmetic-Geometric Mean Inequality used to prove a^2 + b^2 + c^2 greater or equal ab + bc + ac

Tonton & Download Video Musik Gratis

⬇ DOWNLOAD NOW
Kalau muncul iklan pop-up, tutup lalu klik tombol kembali

Download lagu Arithmetic-Geometric Mean Inequality used to prove a^2 + b^2 + c^2 greater or equal ab + bc + ac secara gratis hanya untuk keperluan promosi. Dukung artis favorit kamu dengan membeli musik original di iTunes atau platform resmi lainnya.