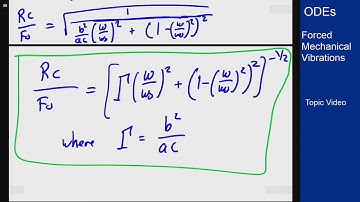
Differential Equations - Forced Oscillations - Interpretation of Amplitude of Forced Response

Tonton & Download Video Musik Gratis

⬇ DOWNLOAD NOW
Kalau muncul iklan pop-up, tutup lalu klik tombol kembali

Download lagu Differential Equations - Forced Oscillations - Interpretation of Amplitude of Forced Response secara gratis hanya untuk keperluan promosi. Dukung artis favorit kamu dengan membeli musik original di iTunes atau platform resmi lainnya.