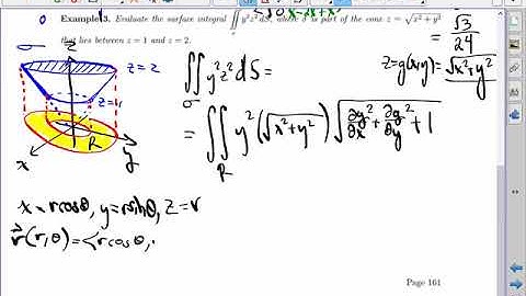
Multivariable Calculus: Ex # 15.5 Q # 23-24 How to find Surface Integral

Tonton & Download Video Musik Gratis

⬇ DOWNLOAD NOW
Kalau muncul iklan pop-up, tutup lalu klik tombol kembali

Download lagu Multivariable Calculus: Ex # 15.5 Q # 23-24 How to find Surface Integral secara gratis hanya untuk keperluan promosi. Dukung artis favorit kamu dengan membeli musik original di iTunes atau platform resmi lainnya.