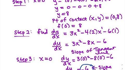
39. Find an equation of the tangent line to the curve at the given point. Illustrate by graphing

Tonton & Download Video Musik Gratis

⬇ DOWNLOAD NOW
Kalau muncul iklan pop-up, tutup lalu klik tombol kembali

Download lagu 39. Find an equation of the tangent line to the curve at the given point. Illustrate by graphing secara gratis hanya untuk keperluan promosi. Dukung artis favorit kamu dengan membeli musik original di iTunes atau platform resmi lainnya.