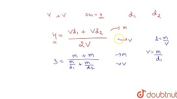
When equal volumes of two substances are mixed together, the specific gravity of the mixture is ...

Tonton & Download Video Musik Gratis

⬇ DOWNLOAD NOW
Kalau muncul iklan pop-up, tutup lalu klik tombol kembali

Download lagu When equal volumes of two substances are mixed together, the specific gravity of the mixture is ... secara gratis hanya untuk keperluan promosi. Dukung artis favorit kamu dengan membeli musik original di iTunes atau platform resmi lainnya.