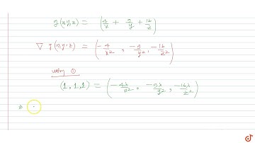
If x,y and z are three positive real numbers, then the minimum value of (y+z)/x +(z+x)/y +(x+y/z is

Tonton & Download Video Musik Gratis

⬇ DOWNLOAD NOW
Kalau muncul iklan pop-up, tutup lalu klik tombol kembali

Download lagu If x,y and z are three positive real numbers, then the minimum value of (y+z)/x +(z+x)/y +(x+y/z is secara gratis hanya untuk keperluan promosi. Dukung artis favorit kamu dengan membeli musik original di iTunes atau platform resmi lainnya.