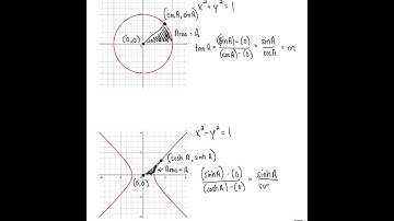
HOW DO YOU DIFFERENTIATE arcsch(x)? (INVERSE COSECH FUNCTION, HYPERBOLIC FUNCTIONS, HYPERBOLIC SINE)

Tonton & Download Video Musik Gratis

⬇ DOWNLOAD NOW
Kalau muncul iklan pop-up, tutup lalu klik tombol kembali

Download lagu HOW DO YOU DIFFERENTIATE arcsch(x)? (INVERSE COSECH FUNCTION, HYPERBOLIC FUNCTIONS, HYPERBOLIC SINE) secara gratis hanya untuk keperluan promosi. Dukung artis favorit kamu dengan membeli musik original di iTunes atau platform resmi lainnya.