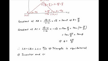
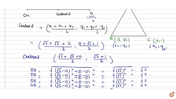
Consider the triangle having vertices O(0,0), A(2,0), and B(1, √(3)). Also, b ≤min{a_1, a_2, a_3,...

Tonton & Download Video Musik Gratis

⬇ DOWNLOAD NOW
Kalau muncul iklan pop-up, tutup lalu klik tombol kembali

Download lagu Consider the triangle having vertices O(0,0), A(2,0), and B(1, √(3)). Also, b ≤min{a_1, a_2, a_3,... secara gratis hanya untuk keperluan promosi. Dukung artis favorit kamu dengan membeli musik original di iTunes atau platform resmi lainnya.