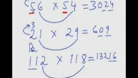
Ajit Bharti Sir Memory training Maths 2 Faster Way to Multiply any Number with Numbers from 1 9

Tonton & Download Video Musik Gratis

⬇ DOWNLOAD NOW
Kalau muncul iklan pop-up, tutup lalu klik tombol kembali

Download lagu Ajit Bharti Sir Memory training Maths 2 Faster Way to Multiply any Number with Numbers from 1 9 secara gratis hanya untuk keperluan promosi. Dukung artis favorit kamu dengan membeli musik original di iTunes atau platform resmi lainnya.