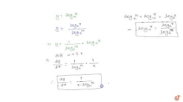
if y=log_(10)x+log_(e)y then (dy)/(dx) is equal to | tuitionrocks

Tonton & Download Video Musik Gratis

⬇ DOWNLOAD NOW
Kalau muncul iklan pop-up, tutup lalu klik tombol kembali

Download lagu if y=log_(10)x+log_(e)y then (dy)/(dx) is equal to | tuitionrocks secara gratis hanya untuk keperluan promosi. Dukung artis favorit kamu dengan membeli musik original di iTunes atau platform resmi lainnya.