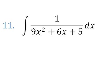
Integrate 1/√9x²+6x+5 dx class 12th exercise 7.4 solution by substitution method.

Tonton & Download Video Musik Gratis

⬇ DOWNLOAD NOW
Kalau muncul iklan pop-up, tutup lalu klik tombol kembali

Download lagu Integrate 1/√9x²+6x+5 dx class 12th exercise 7.4 solution by substitution method. secara gratis hanya untuk keperluan promosi. Dukung artis favorit kamu dengan membeli musik original di iTunes atau platform resmi lainnya.