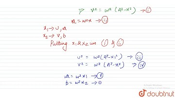
A particle executing SHM has velocities `u` and `v`` and acceleration `a` and `b` in two of its ...

Tonton & Download Video Musik Gratis

⬇ DOWNLOAD NOW
Kalau muncul iklan pop-up, tutup lalu klik tombol kembali

Download lagu A particle executing SHM has velocities `u` and `v`` and acceleration `a` and `b` in two of its ... secara gratis hanya untuk keperluan promosi. Dukung artis favorit kamu dengan membeli musik original di iTunes atau platform resmi lainnya.