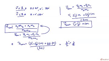
Two particles of equal mass have velocities `2hati ms^(-1) " and " 2hatj ms^(-1)`.

Tonton & Download Video Musik Gratis

⬇ DOWNLOAD NOW
Kalau muncul iklan pop-up, tutup lalu klik tombol kembali

Download lagu Two particles of equal mass have velocities `2hati ms^(-1) " and " 2hatj ms^(-1)`. secara gratis hanya untuk keperluan promosi. Dukung artis favorit kamu dengan membeli musik original di iTunes atau platform resmi lainnya.