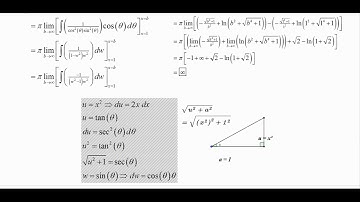
Computing the arc length, surface area and volume of a section of Gabriel's horn (the curve y=1/x).

Tonton & Download Video Musik Gratis

⬇ DOWNLOAD NOW
Kalau muncul iklan pop-up, tutup lalu klik tombol kembali

Download lagu Computing the arc length, surface area and volume of a section of Gabriel's horn (the curve y=1/x). secara gratis hanya untuk keperluan promosi. Dukung artis favorit kamu dengan membeli musik original di iTunes atau platform resmi lainnya.