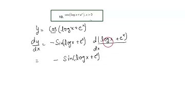
Differentiate cos(logx + e^x) , x is greater than 0 with respect to x

Tonton & Download Video Musik Gratis

⬇ DOWNLOAD NOW
Kalau muncul iklan pop-up, tutup lalu klik tombol kembali

Download lagu Differentiate cos(logx + e^x) , x is greater than 0 with respect to x secara gratis hanya untuk keperluan promosi. Dukung artis favorit kamu dengan membeli musik original di iTunes atau platform resmi lainnya.