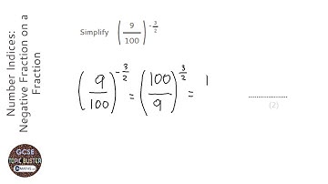
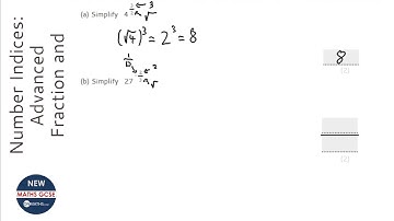
Algebraic Indices: Brackets with Coefficients and Negative Fraction Index (Grade 7) - OnMaths

Tonton & Download Video Musik Gratis

⬇ DOWNLOAD NOW
Kalau muncul iklan pop-up, tutup lalu klik tombol kembali

Download lagu Algebraic Indices: Brackets with Coefficients and Negative Fraction Index (Grade 7) - OnMaths secara gratis hanya untuk keperluan promosi. Dukung artis favorit kamu dengan membeli musik original di iTunes atau platform resmi lainnya.