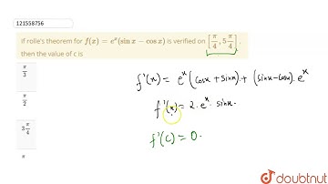
Verify rolle's theorem f(x) = e^x(sinx - cosx) in [π/4, 5π/4]

Tonton & Download Video Musik Gratis

⬇ DOWNLOAD NOW
Kalau muncul iklan pop-up, tutup lalu klik tombol kembali

Download lagu Verify rolle's theorem f(x) = e^x(sinx - cosx) in [π/4, 5π/4] secara gratis hanya untuk keperluan promosi. Dukung artis favorit kamu dengan membeli musik original di iTunes atau platform resmi lainnya.