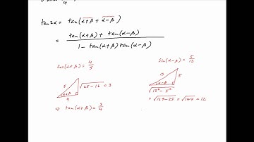
Let cos (α+β)=4/5 and sin (α-β)=5/13, where 0 ≤α, β≤π/4. Then, tan 2 α is equal to [2010 AIEEE] (...

Tonton & Download Video Musik Gratis

⬇ DOWNLOAD NOW
Kalau muncul iklan pop-up, tutup lalu klik tombol kembali

Download lagu Let cos (α+β)=4/5 and sin (α-β)=5/13, where 0 ≤α, β≤π/4. Then, tan 2 α is equal to [2010 AIEEE] (... secara gratis hanya untuk keperluan promosi. Dukung artis favorit kamu dengan membeli musik original di iTunes atau platform resmi lainnya.