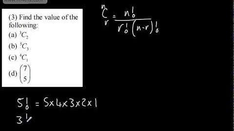
Core 2 - Binomial Expansion (2) - Introduction to using the nCr method to find coefficients

Tonton & Download Video Musik Gratis

⬇ DOWNLOAD NOW
Kalau muncul iklan pop-up, tutup lalu klik tombol kembali

Download lagu Core 2 - Binomial Expansion (2) - Introduction to using the nCr method to find coefficients secara gratis hanya untuk keperluan promosi. Dukung artis favorit kamu dengan membeli musik original di iTunes atau platform resmi lainnya.