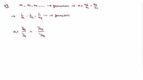
If each term of a geometric progression \[{a_1},{a_2},{a_3},...\] with \[{a_1} = \frac{1}{8}\] and \

Tonton & Download Video Musik Gratis

⬇ DOWNLOAD NOW
Kalau muncul iklan pop-up, tutup lalu klik tombol kembali

Download lagu If each term of a geometric progression \[{a_1},{a_2},{a_3},...\] with \[{a_1} = \frac{1}{8}\] and \ secara gratis hanya untuk keperluan promosi. Dukung artis favorit kamu dengan membeli musik original di iTunes atau platform resmi lainnya.