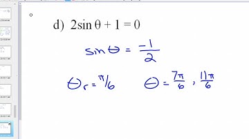
40SP 6 3 Handout Part 4 Solving Trig Equations with Radians Example 1

Tonton & Download Video Musik Gratis

⬇ DOWNLOAD NOW
Kalau muncul iklan pop-up, tutup lalu klik tombol kembali

Download lagu 40SP 6 3 Handout Part 4 Solving Trig Equations with Radians Example 1 secara gratis hanya untuk keperluan promosi. Dukung artis favorit kamu dengan membeli musik original di iTunes atau platform resmi lainnya.