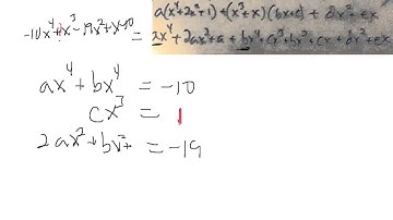
Calculus II, Lectures 11 and 12, V5 Repeated Quadratic Factors

Tonton & Download Video Musik Gratis

⬇ DOWNLOAD NOW
Kalau muncul iklan pop-up, tutup lalu klik tombol kembali

Download lagu Calculus II, Lectures 11 and 12, V5 Repeated Quadratic Factors secara gratis hanya untuk keperluan promosi. Dukung artis favorit kamu dengan membeli musik original di iTunes atau platform resmi lainnya.