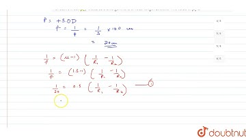
A thin equiconvex glass lens of refractive index 1.5 has power of 5D. When the lens is immersed i...

Tonton & Download Video Musik Gratis

⬇ DOWNLOAD NOW
Kalau muncul iklan pop-up, tutup lalu klik tombol kembali

Download lagu A thin equiconvex glass lens of refractive index 1.5 has power of 5D. When the lens is immersed i... secara gratis hanya untuk keperluan promosi. Dukung artis favorit kamu dengan membeli musik original di iTunes atau platform resmi lainnya.