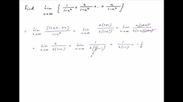
IIT JEE LIMITS 🔥Super Difficult Question 🔥|| Limit of (n+n^2+...n^n)/(1^n+2^n+..n^n) at infinity

Tonton & Download Video Musik Gratis

⬇ DOWNLOAD NOW
Kalau muncul iklan pop-up, tutup lalu klik tombol kembali

Download lagu IIT JEE LIMITS 🔥Super Difficult Question 🔥|| Limit of (n+n^2+...n^n)/(1^n+2^n+..n^n) at infinity secara gratis hanya untuk keperluan promosi. Dukung artis favorit kamu dengan membeli musik original di iTunes atau platform resmi lainnya.