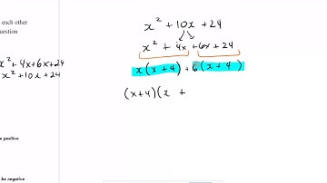
3.2 - Standard and Factored form Q4 Choi MCF3M1 Lesson

Tonton & Download Video Musik Gratis

⬇ DOWNLOAD NOW
Kalau muncul iklan pop-up, tutup lalu klik tombol kembali

Download lagu 3.2 - Standard and Factored form Q4 Choi MCF3M1 Lesson secara gratis hanya untuk keperluan promosi. Dukung artis favorit kamu dengan membeli musik original di iTunes atau platform resmi lainnya.