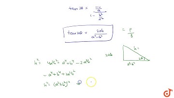
If θ is the angle between the asymptotes of the hyperbola x^2/a^2-y^2/b^2=1 with eccentricity e, ...

Tonton & Download Video Musik Gratis

⬇ DOWNLOAD NOW
Kalau muncul iklan pop-up, tutup lalu klik tombol kembali

Download lagu If θ is the angle between the asymptotes of the hyperbola x^2/a^2-y^2/b^2=1 with eccentricity e, ... secara gratis hanya untuk keperluan promosi. Dukung artis favorit kamu dengan membeli musik original di iTunes atau platform resmi lainnya.