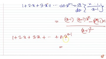
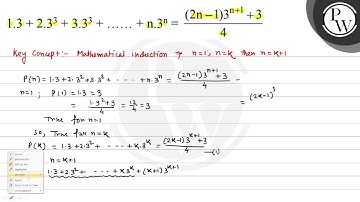
Prove That 1.3+2.3^2+3.3^3+4.3^4+⋯+n.3^𝑛= ((2𝑛−1) 3^(𝑛+1)+3)/4

Tonton & Download Video Musik Gratis

⬇ DOWNLOAD NOW
Kalau muncul iklan pop-up, tutup lalu klik tombol kembali

Download lagu Prove That 1.3+2.3^2+3.3^3+4.3^4+⋯+n.3^𝑛= ((2𝑛−1) 3^(𝑛+1)+3)/4 secara gratis hanya untuk keperluan promosi. Dukung artis favorit kamu dengan membeli musik original di iTunes atau platform resmi lainnya.