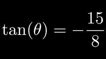
if tan theta=15/8, find the value of all T-ratio of theta | math trigonometry | edulover

Tonton & Download Video Musik Gratis

⬇ DOWNLOAD NOW
Kalau muncul iklan pop-up, tutup lalu klik tombol kembali

Download lagu if tan theta=15/8, find the value of all T-ratio of theta | math trigonometry | edulover secara gratis hanya untuk keperluan promosi. Dukung artis favorit kamu dengan membeli musik original di iTunes atau platform resmi lainnya.