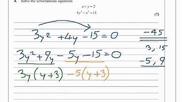
C1 - May 2011 - Edexcel Core Mathematics 1 - Question 1

Tonton & Download Video Musik Gratis

⬇ DOWNLOAD NOW
Kalau muncul iklan pop-up, tutup lalu klik tombol kembali

Download lagu C1 - May 2011 - Edexcel Core Mathematics 1 - Question 1 secara gratis hanya untuk keperluan promosi. Dukung artis favorit kamu dengan membeli musik original di iTunes atau platform resmi lainnya.