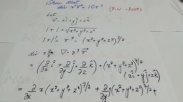
BSc /BS maths book of Elementary Vector Analysis Chapter 4 (curl and divergence) Example 3 and 4

Tonton & Download Video Musik Gratis

⬇ DOWNLOAD NOW
Kalau muncul iklan pop-up, tutup lalu klik tombol kembali

Download lagu BSc /BS maths book of Elementary Vector Analysis Chapter 4 (curl and divergence) Example 3 and 4 secara gratis hanya untuk keperluan promosi. Dukung artis favorit kamu dengan membeli musik original di iTunes atau platform resmi lainnya.