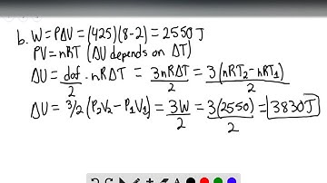
The diagram in Fig. 31 shows two possible states of a system containing 1.55 moles of a monatomic id

Tonton & Download Video Musik Gratis

⬇ DOWNLOAD NOW
Kalau muncul iklan pop-up, tutup lalu klik tombol kembali

Download lagu The diagram in Fig. 31 shows two possible states of a system containing 1.55 moles of a monatomic id secara gratis hanya untuk keperluan promosi. Dukung artis favorit kamu dengan membeli musik original di iTunes atau platform resmi lainnya.