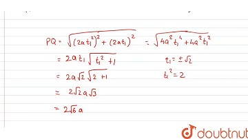
The tangent PT and the normal PN to the parabola y2=4ax at a point P on it meet its axis at points T

Tonton & Download Video Musik Gratis

⬇ DOWNLOAD NOW
Kalau muncul iklan pop-up, tutup lalu klik tombol kembali

Download lagu The tangent PT and the normal PN to the parabola y2=4ax at a point P on it meet its axis at points T secara gratis hanya untuk keperluan promosi. Dukung artis favorit kamu dengan membeli musik original di iTunes atau platform resmi lainnya.