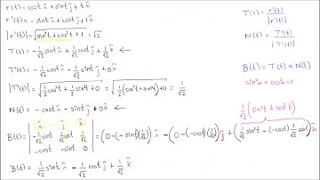
Funciones Vectoriales de una Variable Real.Tangente Unitaria, Normal Principal y Vectores Binormales

Tonton & Download Video Musik Gratis

⬇ DOWNLOAD NOW
Kalau muncul iklan pop-up, tutup lalu klik tombol kembali

Download lagu Funciones Vectoriales de una Variable Real.Tangente Unitaria, Normal Principal y Vectores Binormales secara gratis hanya untuk keperluan promosi. Dukung artis favorit kamu dengan membeli musik original di iTunes atau platform resmi lainnya.