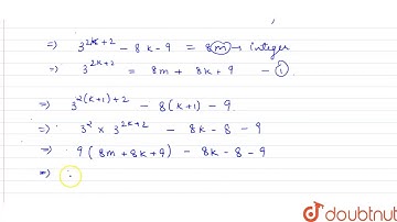
"Prove the following by the principle of mathematical induction:`\ 3^(2n+2)-8n-9` is

Tonton & Download Video Musik Gratis

⬇ DOWNLOAD NOW
Kalau muncul iklan pop-up, tutup lalu klik tombol kembali

Download lagu "Prove the following by the principle of mathematical induction:`\ 3^(2n+2)-8n-9` is secara gratis hanya untuk keperluan promosi. Dukung artis favorit kamu dengan membeli musik original di iTunes atau platform resmi lainnya.