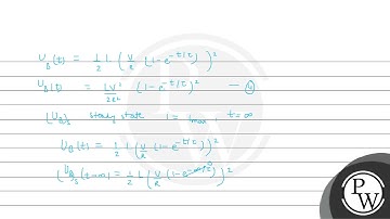
[Physics] ILW At a battery is connected to a series arrangement of a resistor and an inductor. If th

Tonton & Download Video Musik Gratis

⬇ DOWNLOAD NOW
Kalau muncul iklan pop-up, tutup lalu klik tombol kembali

Download lagu [Physics] ILW At a battery is connected to a series arrangement of a resistor and an inductor. If th secara gratis hanya untuk keperluan promosi. Dukung artis favorit kamu dengan membeli musik original di iTunes atau platform resmi lainnya.