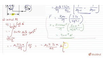
A square loop of side `a` is placed in the same plane as a long straight wire carrying a curren

Tonton & Download Video Musik Gratis

⬇ DOWNLOAD NOW
Kalau muncul iklan pop-up, tutup lalu klik tombol kembali

Download lagu A square loop of side `a` is placed in the same plane as a long straight wire carrying a curren secara gratis hanya untuk keperluan promosi. Dukung artis favorit kamu dengan membeli musik original di iTunes atau platform resmi lainnya.