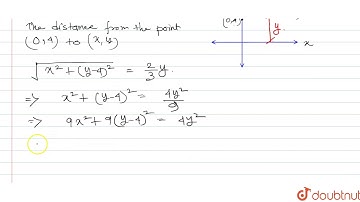
A point moves in the xy - plane in such a manner that its distance from the origin is always 3 unit

Tonton & Download Video Musik Gratis

⬇ DOWNLOAD NOW
Kalau muncul iklan pop-up, tutup lalu klik tombol kembali

Download lagu A point moves in the xy - plane in such a manner that its distance from the origin is always 3 unit secara gratis hanya untuk keperluan promosi. Dukung artis favorit kamu dengan membeli musik original di iTunes atau platform resmi lainnya.