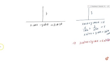
CBSE Class 11 EX 10.3 Q 16: If p & q are lengths of perpendiculars from the origin to the line xCos

Tonton & Download Video Musik Gratis

⬇ DOWNLOAD NOW
Kalau muncul iklan pop-up, tutup lalu klik tombol kembali

Download lagu CBSE Class 11 EX 10.3 Q 16: If p & q are lengths of perpendiculars from the origin to the line xCos secara gratis hanya untuk keperluan promosi. Dukung artis favorit kamu dengan membeli musik original di iTunes atau platform resmi lainnya.