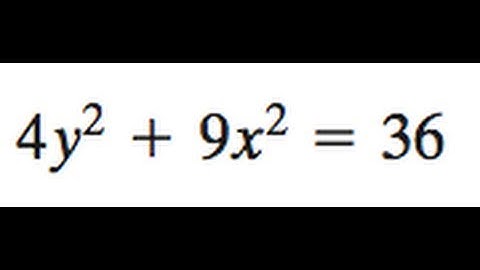
Ellipses - Example 1: Sketching 4x^2 + 9y^2 = 36

Tonton & Download Video Musik Gratis

⬇ DOWNLOAD NOW
Kalau muncul iklan pop-up, tutup lalu klik tombol kembali

Download lagu Ellipses - Example 1: Sketching 4x^2 + 9y^2 = 36 secara gratis hanya untuk keperluan promosi. Dukung artis favorit kamu dengan membeli musik original di iTunes atau platform resmi lainnya.