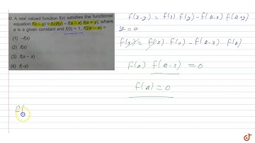
A real valued function f(x) satisfies the functional equation f(x-y)=f(x) f(y)-(a-x)(a+y) where a...

Tonton & Download Video Musik Gratis

⬇ DOWNLOAD NOW
Kalau muncul iklan pop-up, tutup lalu klik tombol kembali

Download lagu A real valued function f(x) satisfies the functional equation f(x-y)=f(x) f(y)-(a-x)(a+y) where a... secara gratis hanya untuk keperluan promosi. Dukung artis favorit kamu dengan membeli musik original di iTunes atau platform resmi lainnya.