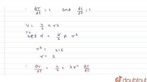
If the volume of spherical ball is increasing at the rate of `4pi" cc/s"`, then the rate of chang

Tonton & Download Video Musik Gratis

⬇ DOWNLOAD NOW
Kalau muncul iklan pop-up, tutup lalu klik tombol kembali

Download lagu If the volume of spherical ball is increasing at the rate of `4pi" cc/s"`, then the rate of chang secara gratis hanya untuk keperluan promosi. Dukung artis favorit kamu dengan membeli musik original di iTunes atau platform resmi lainnya.