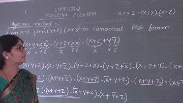
II PU Computer Science Boolean Algebra by Smt Gayathri N Class 3

Tonton & Download Video Musik Gratis

⬇ DOWNLOAD NOW
Kalau muncul iklan pop-up, tutup lalu klik tombol kembali

Download lagu II PU Computer Science Boolean Algebra by Smt Gayathri N Class 3 secara gratis hanya untuk keperluan promosi. Dukung artis favorit kamu dengan membeli musik original di iTunes atau platform resmi lainnya.