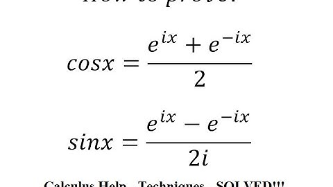
Finding Euler's Formula cos(x) = (e^ix+e-ix)/2 using Differential equations

Tonton & Download Video Musik Gratis

⬇ DOWNLOAD NOW
Kalau muncul iklan pop-up, tutup lalu klik tombol kembali

Download lagu Finding Euler's Formula cos(x) = (e^ix+e-ix)/2 using Differential equations secara gratis hanya untuk keperluan promosi. Dukung artis favorit kamu dengan membeli musik original di iTunes atau platform resmi lainnya.