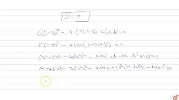
Show that the roots of the equation `a(b-c)x^2+b(c-a)x+c(a-b)=0` are equal if a,b,c are in H.P.

Tonton & Download Video Musik Gratis

⬇ DOWNLOAD NOW
Kalau muncul iklan pop-up, tutup lalu klik tombol kembali

Download lagu Show that the roots of the equation `a(b-c)x^2+b(c-a)x+c(a-b)=0` are equal if a,b,c are in H.P. secara gratis hanya untuk keperluan promosi. Dukung artis favorit kamu dengan membeli musik original di iTunes atau platform resmi lainnya.