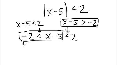
MAC 1105 sec. 1.7 part 4 - solve absolute value inequalities that have a less than sign.

Tonton & Download Video Musik Gratis

⬇ DOWNLOAD NOW
Kalau muncul iklan pop-up, tutup lalu klik tombol kembali

Download lagu MAC 1105 sec. 1.7 part 4 - solve absolute value inequalities that have a less than sign. secara gratis hanya untuk keperluan promosi. Dukung artis favorit kamu dengan membeli musik original di iTunes atau platform resmi lainnya.