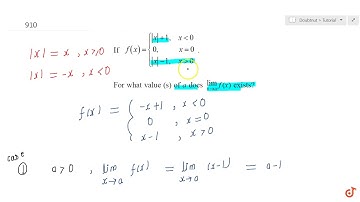
The function f is defined by `f(x) ={1-x ,x lt 0 1,x=0x+1,x gt 0` Draw the graph of f(x)....

Tonton & Download Video Musik Gratis

⬇ DOWNLOAD NOW
Kalau muncul iklan pop-up, tutup lalu klik tombol kembali

Download lagu The function f is defined by `f(x) ={1-x ,x lt 0 1,x=0x+1,x gt 0` Draw the graph of f(x).... secara gratis hanya untuk keperluan promosi. Dukung artis favorit kamu dengan membeli musik original di iTunes atau platform resmi lainnya.