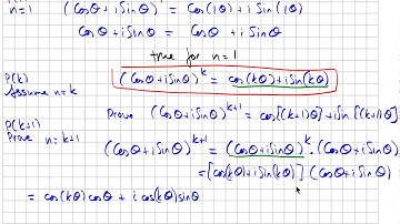
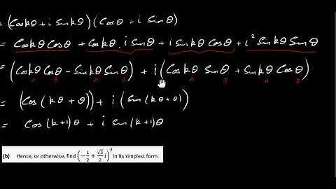
Complex Numbers Q4 2018 Paper 1 Leaving Cert Higher Level Maths

Tonton & Download Video Musik Gratis

⬇ DOWNLOAD NOW
Kalau muncul iklan pop-up, tutup lalu klik tombol kembali

Download lagu Complex Numbers Q4 2018 Paper 1 Leaving Cert Higher Level Maths secara gratis hanya untuk keperluan promosi. Dukung artis favorit kamu dengan membeli musik original di iTunes atau platform resmi lainnya.