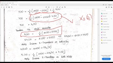
IV B.Tech EEE R16 4-2:DCS(Digital Control Systems):Unit-3:Topic-3 DCS Controllable problem

Tonton & Download Video Musik Gratis

⬇ DOWNLOAD NOW
Kalau muncul iklan pop-up, tutup lalu klik tombol kembali

Download lagu IV B.Tech EEE R16 4-2:DCS(Digital Control Systems):Unit-3:Topic-3 DCS Controllable problem secara gratis hanya untuk keperluan promosi. Dukung artis favorit kamu dengan membeli musik original di iTunes atau platform resmi lainnya.